鉅大鋰電 | 點擊量:0次 | 2018年05月17日
簡述鋰離子電池極片輥壓機原理及工藝
電池極片的軋制是軋輥與電池極片之間產生摩擦力,把電池極片拉進旋轉的軋輥之間,電池極片受壓變形的過程。電池極片的軋制不同于鋼塊的軋制,軋鋼是板材沿縱向延伸和橫向寬展的過程,其密度在軋制過程中不發生變化,而電池極片的軋制是正負極片上電池材料壓實的過程,其目的在于增加正極或負極材料的壓實密度,合適的壓實密度可增大電池的放電容量、減小內阻、減小極化損失、延長電池的循環壽命、提高鋰離子電池的利用率。
電池極片軋制設備是從軋鋼機械演變過來的,一般由機架部分、傳動部分及電控部分組成。根據機械結構與輥壓模式,本文介紹三種常用的鋰離子電池極片輥壓機及其工藝特點:手動螺旋加壓式極片軋機、氣液增壓泵加壓式極片軋機、液壓伺服加壓式極片軋機。
1、手動螺旋加壓式極片軋機
這種設備由減速電機驅動高硬度壓輥旋轉,采用斜塊式輥縫調節裝置機械調整壓輥間隙,使極片受壓成型,增加極片密度,主要用于軋制單片的電池極片,輥壓示意如圖1所示。這種設備主要應用于實驗室,通過設定輥縫值使軋輥在極片上加載壓力,沒有額外的加壓裝置。因此,一般實際壓力比較小,輥壓極片壓實密度受到限制,而且一般最大輥縫受機械裝置限制,存在一個最大值,一般不能輥壓太厚的極片。

圖1手動螺旋加壓調輥縫示意圖
2、氣液增壓泵加壓式極片軋機
氣液增壓泵加壓方式電池極片軋機采用楔鐵和絲杠離線調節輥縫,不能對軋輥間隙和軋制力進行實時在線調節,成本比較低,能夠軋制對稱涂布的電池極片,如圖2。

圖2極片軋機實物照
這種軋機的輥縫由可變厚度的中間斜楔調整,調隙原理:在軋輥兩端的軸承座之間各有兩塊斜面相貼的調隙斜鐵。通常固定其中一塊較薄的稱為靜斜鐵,移動另一塊較厚的稱為動斜鐵,當兩塊斜鐵在斜面方向上有相對位移時,組合出不同的厚度,進而有了不同輥縫。如圖3所示。一般使用步進電機帶動斜鐵滑塊運動的機構,把步進電機的旋轉運動轉化為軋輥之間距離的調整,其結構圖見圖4。在用伺服電機驅動斜鐵移動時,為了能更直觀看到的輥縫,所以調整斜鐵到軋輥兩端縫隙剛好為零,把斜鐵的這個位置稱為原點,并安裝一個限位開關稱為原點開關。

圖3斜楔調隙示意圖

圖4縫隙部分步進電機機械結構

圖5斜楔式電池極片軋機示意圖
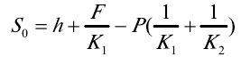
圖5是斜楔式電池極片軋機受力示意圖,液壓缸壓力F作用在軋輥兩側的軸承座上,極片軋制時,液壓缸壓力F分解為作用在楔鐵上的力和作用在極片上的有效軋制力。軋制基本過程為:設電池極片進入軋機前,軋機加壓液壓缸的壓力為零時,預調節輥縫值S0。利用氣液增壓泵加壓后,軋輥軸承座以及楔鐵將會被壓縮,兩軸承座中心距離將會縮短,由于軋輥不會接觸,所有的壓力將會作用在楔鐵上,設縮短的距離為x0,液壓缸預緊力為F,則:

由此式可知液壓缸壓力F、預調節輥縫S0、來料厚度H等對極片有效軋制力P和輥壓厚度h的影響。將上下輥系的彈性變形曲線A、電池極片的塑性變形曲線B和軸承座與楔鐵彈性變形曲線C畫在同一圖中,如圖6所示,O點所對應的橫縱坐標就分別是有效軋制力和極片軋出厚度。

圖6帶楔鐵的彈塑性曲線疊加的有效軋制力-輥壓厚度圖
工藝參數調節要點

但是,在帶楔鐵的軋機中,設定的液壓缸壓力F并不是完全作用在極片上,而是分解為作用在楔鐵上的力和作用在極片上的有效軋制力兩部分。而且分量隨著輥壓參數設定不同而不一樣。
(1)液壓缸壓力F保持不變時,輥縫調定不同的值,如果預輥縫S0比較小時,軸承座與楔鐵脫開,壓力全部作用在極片上,預輥縫由小增加直至某臨界值之前,輥壓厚度都不會變化,但這種情況不是很穩定。超過臨界值,預輥縫S0繼續增加,作用在極片上的有效軋制力不斷減小,極片厚度增加。
(2)預調定輥縫S0比較合適且不變時,如果液壓缸的壓力F調定值小于某一個值,在軋輥輥壓極片時,軸承座就會與楔鐵脫開,壓力全部作用在極片上,隨著油缸壓力增加,作用在極片上的有效軋制力也增加,輥壓厚度減小。但液壓缸壓力大于此值后,油缸壓力繼續增大,增大的壓力基本消耗在楔鐵上了,有效軋制力增加不明顯。
(3)輥縫和液壓缸壓力設定不變,軋制不同厚度的電池極片。來料厚度變小時,輥壓厚度也隨之減小,但是損耗在楔鐵上的壓力增大,而有效軋制力減小,涂層壓實密度不會保持恒定。
(4)目前,氣液增壓泵加壓式極片軋機的實際使用過程中,沒有一個統一的調節輥縫與液壓缸壓力的方法。調定一個比較小的輥縫,液壓缸液壓小一些;或者調定一個較大的輥縫,液壓缸壓力增大些,都能軋出同樣厚度的電池極片。為了使液壓缸的壓力得到有效的利用,減少壓力增加導致的系統能量損失,應該使消耗在楔鐵上的壓力盡量減小,但是為了有一定的富裕度,可以使得油缸壓力略大于所需軋制力,可以根據下式算出所需要的預輥縫:

3、液壓伺服加壓式極片軋機
AGC(AutomaticGaugeControl)軋機是一種具有在線自動厚度調節技術的極片軋機,目前最先進的是全液壓壓下調節裝置。液壓伺服控制加壓式極片軋機不再使用楔鐵調節輥縫值,液壓缸壓力能夠完全作用在電池極片上,為了能夠實時控制作用在電池極片上壓力和液壓缸活塞位置,加壓系統采用閥控缸的液壓伺服控制系統。這種方式結構簡單,靈敏度高,能夠滿足很嚴格的厚度精度要求,可實現恒壓力、恒間隙軋制。傳遞的力和功率大的液壓伺服控制系統的引入使得極片軋機能夠實現壓力和輥縫的在線實時調節,軋制單雙層交替涂布的極片時,單層部分也能得到比較好的軋制效果,使得軋制極片的質量大大提高。軋制過程中有桿腔通過減壓閥、溢流閥和蓄能器的組合保持一個恒定壓力。上下軸承座之間有四個柱塞缸,通過減壓閥和溢流閥的組合保持恒壓以平衡上輥系的重量。
機座的剛度采用軋輥壓靠法測定,確定過程具體如下:兩軋輥之間沒有電池極片、軋輥空轉的情況下,上軋輥慢慢壓下,使上下軋輥直接接觸壓靠。軋輥接觸壓靠后,控制液壓伺服缸,使上軋輥繼續下降,使軋機工作機座產生彈性變形。然后控制上軋輥慢慢上升,兩軋輥慢慢分開,測量軋制力和液壓缸體與活塞相對位置的對應關系。缸體與活塞相對位置的變化反應的就是工作機座的彈性變形。

圖7液壓伺服加壓式電池極片軋機示意圖
液壓伺服系統加壓式電池極片軋機加壓機構示意圖如圖7,液壓壓力全部作用在極片上,有效軋制力P為:

其中,K為整個機架的剛度,h為輥壓厚度,S0為預調節輥縫。
液壓伺服加壓式極片軋機能夠實時控制作用在電池極片上壓力和液壓缸活塞位置,具備恒壓力、恒輥縫兩種軋制模式。
恒輥縫軋制

圖8恒輥縫(100μm)軋制實驗曲線
如圖8所示,當軋輥從電池極片有漿料部分輥壓到無漿料的過程中,因為電池極片的突然變薄,上軋輥會突然下降然后快速恢復的原位置,軋機機座的彈性變形減小,軋制力也相應減小。當軋輥從電池極片的基帶部分輥壓到有漿料部分的過程中,上軋輥會突然上升然后下壓到要求的位置,軋機機座的彈性變形增大,軋制力也相應增大。但總體來看,位移波動不是很大。
目前甚至出現雙閉環控制系統,內環位置控制環(APC)是的核心控制環節,其輸出為軋輥的實際位置或稱實際輥縫,即現恒輥縫軋制。外環為極片厚度控制環,實時在線檢測極片厚度,厚度反饋信號用來修正位置環的輥縫設定值,通過液壓伺服控制,使軋輥快速動作,以達到迅速消除厚差的目的。
恒壓力軋制

圖9恒軋制力(單側400KN)軋制實驗曲線
如圖9所示,當軋輥從電池極片有漿料部分輥壓到無漿料部分的過程中,因為電池極片的突然變薄,軋制力會有一個減小的波動,再快速恢復到設定值,上軋輥也相應下降。當軋輥從電池極片的基帶部分輥壓到有漿料部分的過程中,軋制力會有個增大的波動,再快速恢復到設定值,上軋輥也相應上升。但總體來看,壓力波動不是很大。
由于軋機兩側機械結構制造裝配的不完全對稱、傳動側與傳動軸相連、電池極片在輥系間的位置也不能保證在中間,位置的變化有一定差別。由于電池極片負載的特殊性,如何克服在過極片間隙時,減小壓力的波動等問題還有待進一步解決。
上一篇:如何維修電動車鋰電池
下一篇:較為理想的儲能方式——鋰離子電池










