鉅大鋰電 | 點擊量:0次 | 2018年07月25日
鉀離子電池價值為何被低估?
鋰電池發展到現在似乎遇到了一個“瓶頸期”,能量密度提升緩慢,成本下降并不迅速,而且在快充、適應溫度范圍、更大規模部署應用(電動汽車、儲能)以及資源豐度方面都已經遇到了挑戰。因此人們一直在尋找一種新的二次電池技術彌補鋰電的不足,鈉以及電荷數大的鎂、鋅、鋁金屬子都是目前重要的研究方向。
為獲得最高的能量密度,位于元素周期表左上方的金屬鋰成為了當今二次電池的第一選擇,其極負的標準電極電位(-3.04V)意味著其與正極組成全電池后,電池具有高的電壓輸出;而鋰金屬是最輕的金屬,這又意味著具有較高的克比容量。能量=比容量×電壓,因此鋰相關電池技術能量密度在現行電池中幾乎是最高的。此外,鋰離子電池還擁有體積小的優點。因此其在90年代的產業化后迅速推進了智能手機、相機、筆記本電腦和電動汽車等諸多領域的革命性發展。
然而,鋰電池發展到現在似乎遇到了一個“瓶頸期”,能量密度提升緩慢,成本下降并不迅速,而且在快充、適應溫度范圍、更大規模部署應用(電動汽車、儲能)以及資源豐度方面都已經遇到了挑戰。因此人們一直在尋找一種新的二次電池技術彌補鋰電的不足,鈉以及電荷數大的鎂、鋅、鋁金屬子都是目前重要的研究方向。

然而,高價態鎂、鋅、鋁離子二次電池研究具有很高的難度,其高價態和比鋰還小的半徑使其與陰離子緊密吸附從而在晶體結構中很難自由的嵌入和脫出,且其在電解液中強烈的溶劑化效應使其在嵌入離子通道過程中也很難去溶劑化,因此其發展非常緩慢。鈉元素儲量幾乎是鋰儲量的1000倍、性質與鋰接近使其研發可以借鑒鋰離子電池的工藝和材料體系,在所有電池體系中最被寄予厚望,國內外在工程中試開發方面已經取得了一些進展,被很多人認為尤其在固定儲能領域可能提供有力的解決方案(能量密度略低于鋰電)。

鈉、鉀離子相對于鋰離子豐度更高
然而在鈉離子電池受到學術界廣泛關注的同時,堿金屬兄弟之一——鉀元素受到的關注卻要少的多。雖然同為第一主族元素性質相似且鈉鉀具有相似的儲量,但在鈉鉀之間,前者似乎更有希望——畢竟鈉離子與鋰離子半徑上更為接近(鉀離子半徑和質量都更大),很多材料體系更有希望直接參考鋰離子電池的研發成果,如果低成本的鈉離子電池能夠產業化,那么具有相近儲量,但是在材料結構相同的前提下能量密度會更低的鉀離子電池就變的幾乎沒有必要(但是實際上這個前提并不一定成立,后面會解釋)。但近期對于鈉離子和鉀離子電池的試驗結果顯示,鉀離子的這一劣勢有可能被其一些獨特優勢得以彌補。

(1)氧化還原電位。同為第一主族元素,三者的電極電位并不符合我們一般的常識推斷,不是從上至下越來越負(即容易失去電子)。鋰-3.04V;鈉-2.71V;鉀-2.93V。因為電池的電壓等于正負極的電勢差,因此由負極電位不那么“負”的鈉材料構成的鈉離子電池往往電壓偏低,而鋰和鉀的電位更相似,因此鉀離子電池有望與鋰離子電池一樣,在高電壓這一方面確立優勢。
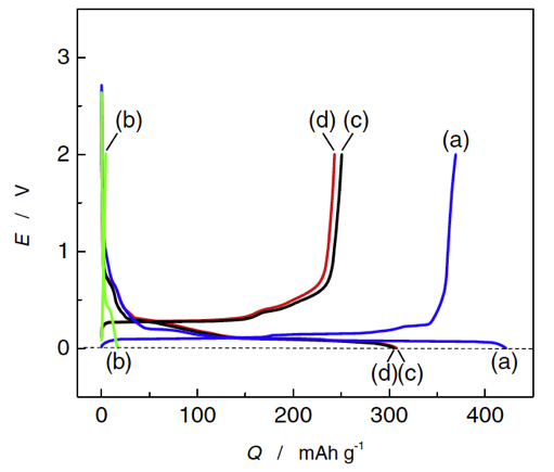
(2)石墨負極嵌入。石墨作為鋰離子電池的主要負極材料,它理所應當的被照搬到鈉離子和鉀離子電池負極,但試驗結果卻發現鈉離子不能嵌入石墨層狀結構中,目前鈉離子電池使用的負極材料,硬碳是一個主要的發展方向,但其性能并不能讓人十分滿意,且價格高于石墨。而出人意料的是半徑更大的鉀離子卻可以嵌入石墨,并提供大約250mAh/g的比容量[1,2]。這一方面又是鋰和鉀更為相似。

硬碳的鈉離子電池,與鋰電的石墨負極不同

堿金屬離子在石墨中的充放電曲線:(a)鋰離子,銅集流體;(b)鈉離子,鋁集流體;(c)鉀離子,銅集流體;(d)鉀離子,鋁集流體。
(3)堿金屬負極及枝晶問題。堿金屬一直被期望能夠直接應用為電池負極,因為它不需要任何的非活性“宿主”從而帶來極大的能量密度(比如鋰離子電池的石墨負極,大家天天念叨著能不能讓其完全金屬鋰化,然而并不容易),但在充電過程中在固態金屬表面的不規則沉積造成的枝晶和枝晶所帶來的短路等安全隱患使得堿金屬都不能直接應用于電池中,鋰金屬負極一直對于學術界和工業界都是一個很有挑戰的問題,并非一朝一夕可以輕松解決。
有趣的是對于鉀離子電池,這個問題完全可以以另一種思路解決:鈉和鉀的混合物在室溫下變成液體,但鋰和鈉鉀都不能形成合金。如果使用鈉鉀合金做負極,其在室溫下為液態,而液體負極就完全沒有枝晶形成的問題,充電過程中沉積的金屬都會變為液態。而且鈉鉀合金與有機電解液的不混溶性又使得該液態金屬負極并不需要固態電解質,從而使以合金為負極的電池可以在室溫下運行。但由于鈉鉀電位的“相對差異”(鉀電位更負,相對更容易失去電子),鈉鉀合金中具有活性的是金屬鉀[3],鈉金屬并不參與電池的反應,但鈉起到了把鉀金屬液態化的作用,鈉鉀合金作為鉀負極具有579mAh/g比容量。這又給了鉀離子電池一個機會。

鉀鈉合金負極示意圖,及其與Na2MnFe(CN)6構成全電池時的充放電曲線變化,電位變化趨勢顯示鉀鈉合金是鉀負極,而且Na2MnFe(CN)6逐漸變為K2MnFe(CN)6且容量并不衰減。
(4)正極材料。現今主流的鋰離子電池正極結構(比如層狀氧化物材料)照搬到鈉離子和鉀離子都沒有取得理想的效果,磷酸鐵鋰、三元鋰、錳酸鋰都沒有找到在鈉離子電池體系中性能良好的對應物。

鈉離子的大尺寸導致磷酸鐵鈉與磷酸鐵鋰材料結構不同
而在鈉離子電池中,普魯士藍Na2MnFe(CN)6是目前性能最好的正極材料之一,其理論容量為170mAh/g,放電平臺為3.4V,并具有很好的充放電倍率性能。當此正極和液態K-Na合金負極匹配進行電池研究時,卻發現Na2MnFe(CN)6會逐漸變為K2MnFe(CN)6,并帶來電位的上升,這也就意味著K2MnFe(CN)6可以作為一個鉀正極使用,與K-Na合金或石墨組合成鉀離子電池。與Na2MnFe(CN)6鈉正極相比,其理論容量下降為156mAh/g,但其放電平臺上升為3.8V左右。因此,K2MnFe(CN)6(593Wh/kg)反而比Na2MnFe(CN)6(578Wh/kg)具有稍高的能量密度[4]。而這個鉀正極的能量密度甚至可以與一些主流的鋰離子電池正極不相上下,比如LiCoO2(4V,140mAh/g),LiFePO4(3.4V,170mAh/g)。

小結
以上關于鉀離子負極和正極的發現很多都是在研究鈉離子電池時的偶然獲得。由于先天的不足,鉀離子電池的研究一直被忽視。但實際在電池材料以及全電池中,堿金屬離子所占質量和體積比重只有4-10%(比如LiFePO4正極材料分子量為157.76,鋰原子量為6.94,只占4.4%),鉀離子的劣勢完全有可能借助于“宿主”材料、較高的電位平臺以及全電池完全不同的設計特性得以彌補。
過去兩年,對于鉀離子電池的研究有了迅速的增長,其在未來的應用前景值得關注,尤其可能應用于對電池質量和體積不甚敏感但對成本要求更高的大型儲能領域。我們也希望社會各界可以更多的關注鉀離子電池這一具有研究價值和應用潛力的重要方向,為電池行業的發展提供助力。
上一篇:新鋰電池或使手機續航延時兩倍
下一篇:如何更好促進動力電池的發展










